Canadá detalla el plan de subvenciones para vehículos eléctricos iZEV
El Gobierno canadiense ha aclarado aún más la política de subvenciones para los vehículos eléctricos antes de su entrada en vigor el 1 de mayo de 2019. La elegibilidad depende del precio de catálogo y del número de plazas, así como de la autonomía en el caso de los híbridos enchufables.
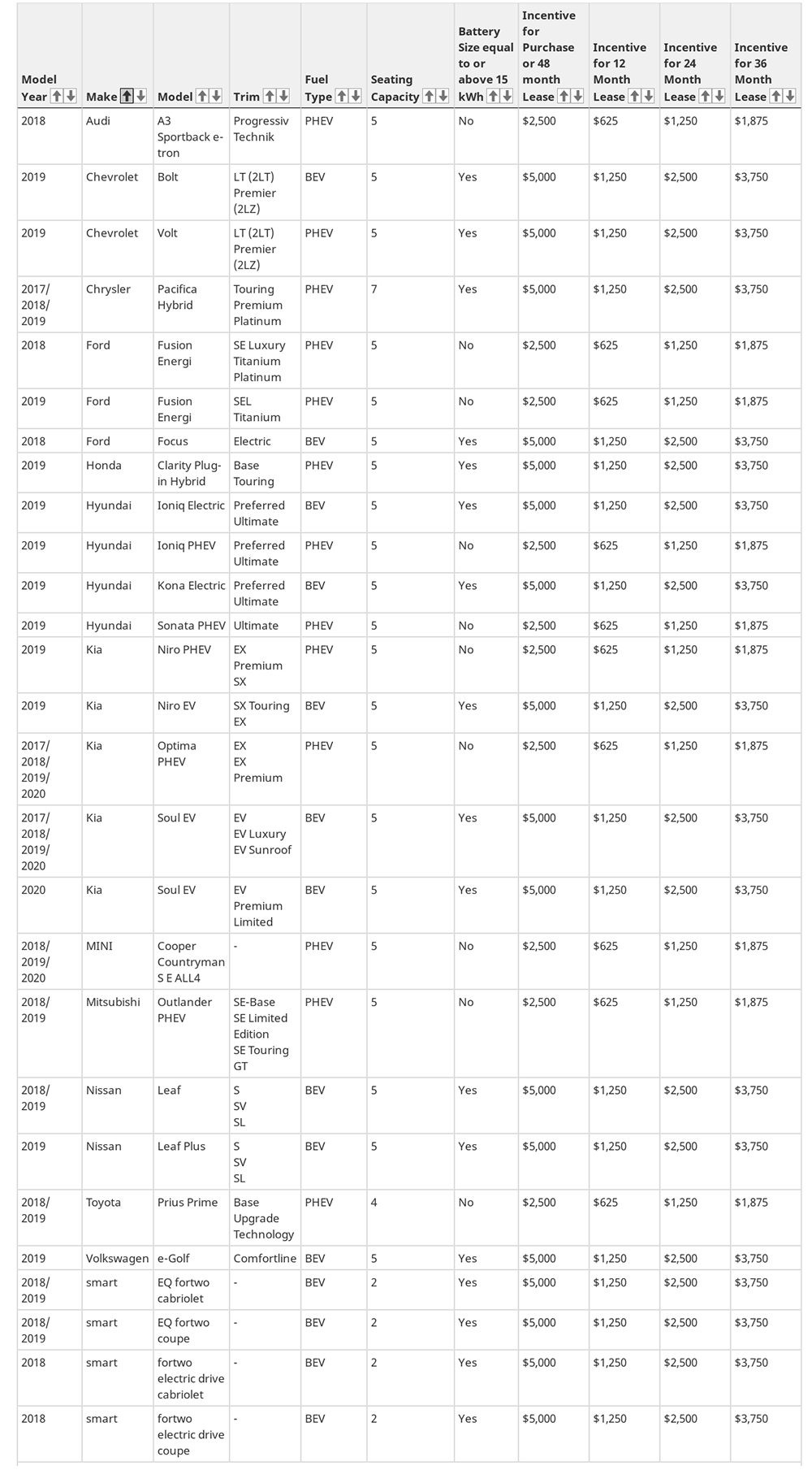
La subvención a los enchufables es de 5.000 CAD como máximo (unos 3.322 euros) siempre que los coches eléctricos no cuesten más de $45.000 con seis o menos plazas o menos de $55.000 para los de siete plazas. La base es el precio de venta sugerido, pero los acabados de mayor precio de estos vehículos también podrán optar a los incentivos de compra, hasta un MSRP máximo de $55.000 y $60.000 respectivamente.
Esto confirma nuestra informe inicial que todos los vehículos Tesla están exentos de la subvención, incluido el Model 3, ya que incluso el precio base de 35.000 dólares estadounidenses se traduce en 46.670 CAD. Kia, por su parte, se aseguró de sincronizar la llegada de los nuevos vehículos eléctricos Soul y Niro con el incentivo y fijó los precios en consecuencia. El Kia Niro 2019 comienza en $44.995 y el Kia Soul EV 2020 en $42.595 cuando llegue a Canadá el próximo mes de junio.
La subvención se aplicará a cualquier vehículo eléctrico, incluidos los de pila de combustible, adquirido a partir del 1 de mayo de 2019. Los vehículos eléctricos alquilados también son subvencionables, pero se prorrateará en función de la duración del contrato de alquiler, y sólo los contratos de 48 meses recibirán el importe íntegro. Los vehículos eléctricos usados están exentos del plan.
La nueva política también tiene en cuenta a los híbridos enchufables (con una capacidad de batería de al menos 15 kWh). Los VE a tiempo parcial reciben 5.000 o 2.500 CAD en función de la autonomía de conducción eléctrica. Canadá utiliza aquí la capacidad de la batería como guía y recorta el incentivo para los PHEV con una capacidad de batería inferior a 15 kWh, lo que corresponde a unos 50 km de autonomía.

El programa está destinado a particulares y cada persona sólo puede obtener un incentivo en un año natural. Las empresas y los gobiernos provinciales, territoriales y municipales que operen con flotas sólo pueden obtener hasta 10 incentivos en un año natural. Si las empresas optan por esta vía, no podrán beneficiarse de la nueva desgravación fiscal para estos vehículos.
El programa funciona por orden de llegada y Canadá ha asignado por ahora 300 millones de dólares canadienses (unos 200 millones de euros) al llamado sistema iZEV. El gobierno de Ottawa espera que el programa se desarrolle a lo largo de tres años, hasta 2022.
Canadá maneja un objetivo de ventas de 100% de vehículos de emisiones cero en 2040, con objetivos intermedios del 10% para 2025 y del 30% para 2030. Sin embargo, no existe una cuota de ventas de VE vinculante para los fabricantes, pero se han presupuestado otros cinco millones de dólares para acordar objetivos de ventas voluntarios con los fabricantes de automóviles. Los proveedores y fabricantes canadienses pueden solicitar financiación a través del Fondo de Innovación Estratégica.
tc.gc.ca (detalles del programa iZEV), canada.ca (anuncio), globenewswire.com (Precios de Kia)




0 Comentarios